
LCOE Calculator with Comparison tools
Calculator with complete guide -
5 followers
Calculator with complete guide -
5 followers
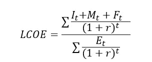
Free LCOE Calculator to find the Levelized Cost of Energy per kWh. Used so you can compare the different projects you are considering. Totally free and without any kind of sign-in. Instant results without any problems!



