
Mindfill
An AI STEM tutor that adapts to each learner's style.
2 followers
An AI STEM tutor that adapts to each learner's style.
2 followers
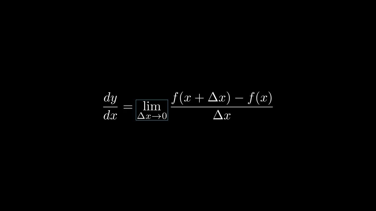
AI-powered learning platform that teaches STEM through deep understanding, adaptive questioning, and layered explanations. It helps you master any subject with intelligent, personalized education.









